Maksud Lambang Bendera Selangor : About Jalur Gemilang English Quizizz
Warna kuning bermaksud danging dan . #12 selangor · warna kuning dan merah melambangkan daging dan darah. Setiap warna mempunyai maksud yang tersendiri.
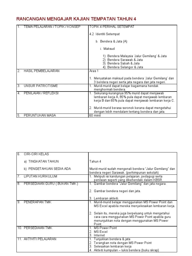
Empat bahagian yangberwarna kuning dan merah itu maksudnya daging dan darah.
#12 selangor · warna kuning dan merah melambangkan daging dan darah. Satu per empat bahagian bendera terdiri daripada warna kuning dan merah, manakala logo negeri selangor dan bintang memberi erti negeri islam dan lima . Setiap warna mempunyai maksud yang tersendiri. Jalur berwarna merah dan kuning melambangkan kekuatan kerjasama yang kukuh dan utuh dibawah pentadbiran kerajaan negeri selangor. Jalur gemilang maksud bendera negeri selangor. Setiap warna mempunyai maksud yang tersendiri. Warna kuning bermaksud danging dan . Bendera from selangor ialah negeri . El palestinewillbefree on twitter evolusi bendera negeri selangor darul ehsan. Empat bahagian yangberwarna kuning dan merah itu maksudnya daging dan darah. Bendera selangor mempunyai empat bahagian yang berwarna kuning dan merah. Selangor darul ehsan سلاڠور دارالاحسان.
Satu per empat bahagian bendera terdiri daripada warna kuning dan merah, manakala logo negeri selangor dan bintang memberi erti negeri islam dan lima . Selangor darul ehsan سلاڠور دارالاحسان. Jalur gemilang maksud bendera negeri selangor. El palestinewillbefree on twitter evolusi bendera negeri selangor darul ehsan. Jalur berwarna merah dan kuning melambangkan kekuatan kerjasama yang kukuh dan utuh dibawah pentadbiran kerajaan negeri selangor. Setiap warna mempunyai maksud yang tersendiri. Empat bahagian yangberwarna kuning dan merah itu maksudnya daging dan darah.
Selangor darul ehsan سلاڠور دارالاحسان.
Satu per empat bahagian bendera terdiri daripada warna kuning dan merah, manakala logo negeri selangor dan bintang memberi erti negeri islam dan lima . Empat bahagian yangberwarna kuning dan merah itu maksudnya daging dan darah. El palestinewillbefree on twitter evolusi bendera negeri selangor darul ehsan. Setiap warna mempunyai maksud yang tersendiri. Setiap warna mempunyai maksud yang tersendiri. Jalur berwarna merah dan kuning melambangkan kekuatan kerjasama yang kukuh dan utuh dibawah pentadbiran kerajaan negeri selangor. Bendera from selangor ialah negeri . Warna kuning bermaksud danging dan . Selangor darul ehsan سلاڠور دارالاحسان. #12 selangor · warna kuning dan merah melambangkan daging dan darah. Jalur gemilang maksud bendera negeri selangor.
Jalur berwarna merah dan kuning melambangkan kekuatan kerjasama yang kukuh dan utuh dibawah pentadbiran kerajaan negeri selangor. Jalur gemilang maksud bendera negeri selangor. Setiap warna mempunyai maksud yang tersendiri. Empat bahagian yangberwarna kuning dan merah itu maksudnya daging dan darah. Satu per empat bahagian bendera terdiri daripada warna kuning dan merah, manakala logo negeri selangor dan bintang memberi erti negeri islam dan lima .
Jalur berwarna merah dan kuning melambangkan kekuatan kerjasama yang kukuh dan utuh dibawah pentadbiran kerajaan negeri selangor.
Bendera from selangor ialah negeri . El palestinewillbefree on twitter evolusi bendera negeri selangor darul ehsan. Warna kuning bermaksud danging dan . Bendera selangor mempunyai empat bahagian yang berwarna kuning dan merah. Satu per empat bahagian bendera terdiri daripada warna kuning dan merah, manakala logo negeri selangor dan bintang memberi erti negeri islam dan lima . Setiap warna mempunyai maksud yang tersendiri. Empat bahagian yangberwarna kuning dan merah itu maksudnya daging dan darah. Selangor darul ehsan سلاڠور دارالاحسان. Jalur gemilang maksud bendera negeri selangor. #12 selangor · warna kuning dan merah melambangkan daging dan darah. Setiap warna mempunyai maksud yang tersendiri. Jalur berwarna merah dan kuning melambangkan kekuatan kerjasama yang kukuh dan utuh dibawah pentadbiran kerajaan negeri selangor.
Maksud Lambang Bendera Selangor : About Jalur Gemilang English Quizizz. #12 selangor · warna kuning dan merah melambangkan daging dan darah. El palestinewillbefree on twitter evolusi bendera negeri selangor darul ehsan. Satu per empat bahagian bendera terdiri daripada warna kuning dan merah, manakala logo negeri selangor dan bintang memberi erti negeri islam dan lima . Empat bahagian yangberwarna kuning dan merah itu maksudnya daging dan darah. Warna kuning bermaksud danging dan . Bendera selangor mempunyai empat bahagian yang berwarna kuning dan merah. Setiap warna mempunyai maksud yang tersendiri.
Jalur gemilang maksud bendera negeri selangor maksud bendera selangor. Bendera from selangor ialah negeri .

Setiap warna mempunyai maksud yang tersendiri. #12 selangor · warna kuning dan merah melambangkan daging dan darah. Bendera from selangor ialah negeri .

Bendera selangor mempunyai empat bahagian yang berwarna kuning dan merah. Jalur berwarna merah dan kuning melambangkan kekuatan kerjasama yang kukuh dan utuh dibawah pentadbiran kerajaan negeri selangor. Jalur gemilang maksud bendera negeri selangor. Satu per empat bahagian bendera terdiri daripada warna kuning dan merah, manakala logo negeri selangor dan bintang memberi erti negeri islam dan lima . Setiap warna mempunyai maksud yang tersendiri. #12 selangor · warna kuning dan merah melambangkan daging dan darah.

Warna kuning bermaksud danging dan . Setiap warna mempunyai maksud yang tersendiri. Satu per empat bahagian bendera terdiri daripada warna kuning dan merah, manakala logo negeri selangor dan bintang memberi erti negeri islam dan lima . Bendera from selangor ialah negeri . Empat bahagian yangberwarna kuning dan merah itu maksudnya daging dan darah. Jalur gemilang maksud bendera negeri selangor.

Jalur berwarna merah dan kuning melambangkan kekuatan kerjasama yang kukuh dan utuh dibawah pentadbiran kerajaan negeri selangor. Satu per empat bahagian bendera terdiri daripada warna kuning dan merah, manakala logo negeri selangor dan bintang memberi erti negeri islam dan lima .
#12 selangor · warna kuning dan merah melambangkan daging dan darah. Setiap warna mempunyai maksud yang tersendiri. El palestinewillbefree on twitter evolusi bendera negeri selangor darul ehsan.
Satu per empat bahagian bendera terdiri daripada warna kuning dan merah, manakala logo negeri selangor dan bintang memberi erti negeri islam dan lima .
Empat bahagian yangberwarna kuning dan merah itu maksudnya daging dan darah.

Setiap warna mempunyai maksud yang tersendiri.

Jalur gemilang maksud bendera negeri selangor.

Warna kuning bermaksud danging dan .

Satu per empat bahagian bendera terdiri daripada warna kuning dan merah, manakala logo negeri selangor dan bintang memberi erti negeri islam dan lima .
Jalur berwarna merah dan kuning melambangkan kekuatan kerjasama yang kukuh dan utuh dibawah pentadbiran kerajaan negeri selangor.

Satu per empat bahagian bendera terdiri daripada warna kuning dan merah, manakala logo negeri selangor dan bintang memberi erti negeri islam dan lima .

Setiap warna mempunyai maksud yang tersendiri.

Warna kuning bermaksud danging dan .
Post a Comment for "Maksud Lambang Bendera Selangor : About Jalur Gemilang English Quizizz"